坚持高起点、高标准和国际化定位,通过与龙头企业深度合作,从人才培养、源头创新、技术研发、成果转化等方面建设国际一流微电子吃瓜网 。
引育优秀青年博士、高层次人才,深化产教融合与产学研合作,构建一流师资队伍和行政教辅团队。欢迎海内外优秀人才加盟,共创美好未来。
秉持“知行合一、立德树人”办学理念,培养具有国际视野、勇于担当、善于学习、敢于超越的高素质创新人才,服务粤港澳大湾区产业需求。
与 OPPO、华为、松山湖材料实验室等深度合作,建设国际一流研究平台,聚焦学科前沿,强化交叉融合,助力东莞“科技创新+先进制造”战略目标。
展示吃瓜网招生就业工作的动态,发布招生与就业信息,落实最新政策文件精神。
凝炼学生工作特色,以生为本,立德树人,全方位展示吃瓜网学生工作的最新动态和学生成长发展的风采。
贯彻习近平新时代中国特色社会主义思想,坚持社会主义办学方向,落实党务组织、纪委监察、工会、团委、宣传工作等党建工作。
创新学生联合培养机制,建设产教深度融合的人才培养和产学研创新体系。引进国外名校落地, 与境内外相关高校、研究单位联合培养人才。
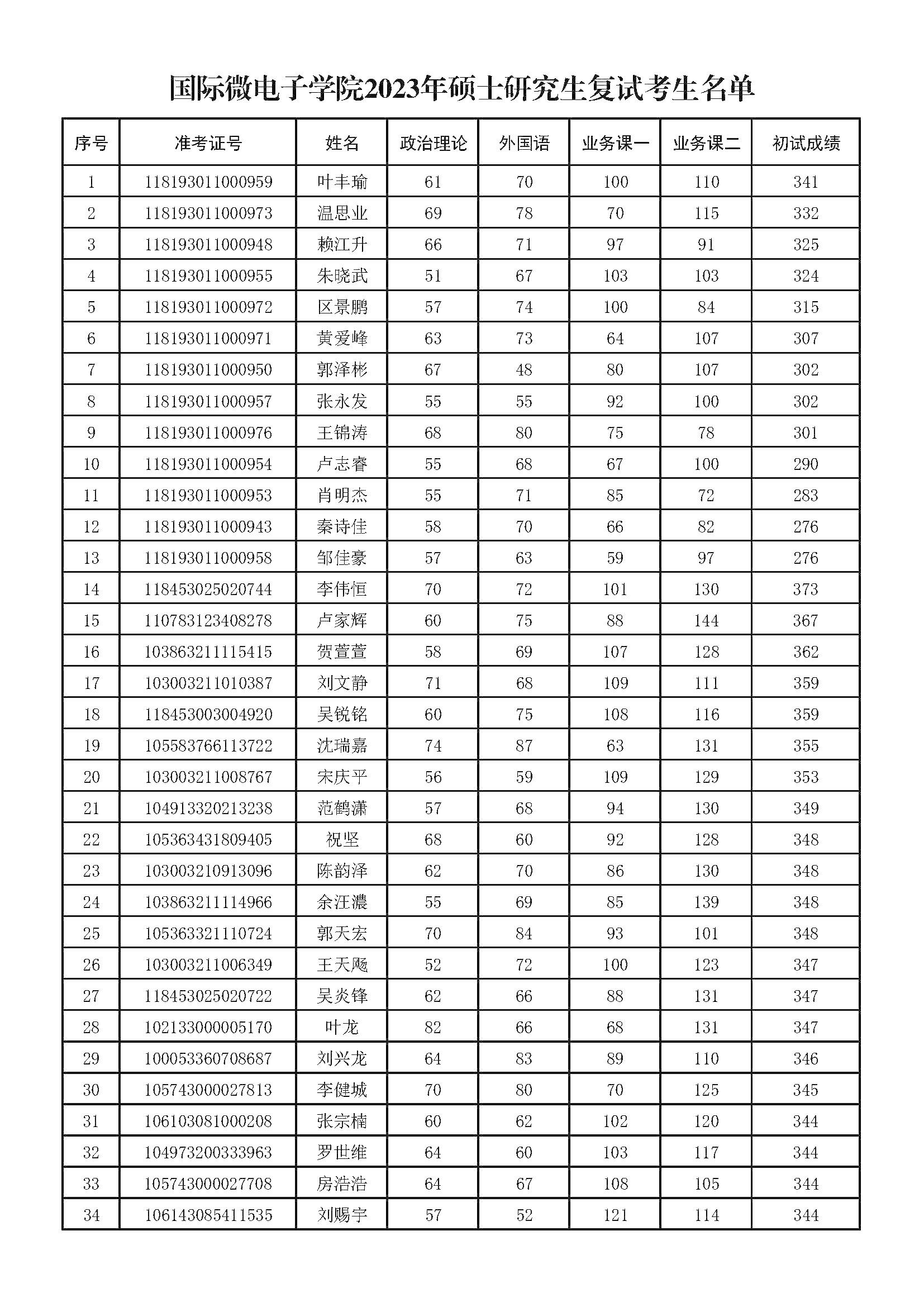
吃瓜网 2023年硕士研究生复试考生名单.pdf
【关闭】